Beranda
/ Contoh Soal Matematika Deret Maclaurin - Kalkul Lanjut Deret Taylor Dan Deret Maclaurin Pdf / Diketahui deret aritmatika sebagai berikut sn' = jumlah n suku pertama setelah disisipkan k buah suku.
Contoh Soal Matematika Deret Maclaurin - Kalkul Lanjut Deret Taylor Dan Deret Maclaurin Pdf / Diketahui deret aritmatika sebagai berikut sn' = jumlah n suku pertama setelah disisipkan k buah suku.
Contoh Soal Matematika Deret Maclaurin - Kalkul Lanjut Deret Taylor Dan Deret Maclaurin Pdf / Diketahui deret aritmatika sebagai berikut sn' = jumlah n suku pertama setelah disisipkan k buah suku.. Berikut penjelasan, contoh soal dan pembahasan agar kamu lebih paham tentang deret aritma. Soal matematika kelas 2 sd. Deret tersebut merupakan deret aritmetika karena setiap sukunya memiliki perbedaan tetap. Download rangkuman contoh soal limit dalam bentuk pdf klik disini. Deret aritmatika adalah pola bilangan berderet di dalam matematika, yang mempunyai manfaat sangat penting dalam berbagai hal.
Pembahasan limit trigonometri sbmptn 2017 matemati. Segini aja pembahasan tentang rumus barisan dan deret aritmatika lengkap dengan contoh soal & pembahasan. Soal matematika kelas 2 sd. Belajar matematika yukk deret taylor dan deret maclaurin. Deret tersebut menyatakan jumlah 10 suku pertama, disimbolkan dengan s10.
Deret Taylor Belajar Teknologi from i0.wp.com Contoh soal barisan & deret jawaban dan pembahasannya kelas 11. Aku akan kasih contoh soal induksi matematika biar kamu gak bingung, biasanya kalau udah dikasih contoh soal akan lebih jelas bayangannya. Tes deret angka, tes angka berkolom, tes soal latihan di bawah ini diperbarui secara berkala. Deret maclaurin untuk setiap polinomial adalah polinomial itu sendiri. 1112vi1vv1ii1111 optimasi fungsi kuadratik tanpa kendala dengan. Berikut penjelasan, contoh soal dan pembahasan agar kamu lebih paham tentang deret aritma. Simak penjelasan selengkapnya di bawah ini. Untuk n = 5, kita peroleh 2 5 > adalah suatu pernyataan yang benar.
Bagaimana sih contoh latihan matematika cpns yang diperkirakan sering muncul saat tes tersebut?
Begitulah informasi yang bisa kami uraikan mengenai contoh soal. Berikut ini adalah kumpulan contoh soal psikotes matematika dalam bentuk cerita yang sering digunakan pada saat rekrutmen dari perusahaan. Tes deret angka, tes angka berkolom, tes soal latihan di bawah ini diperbarui secara berkala. Contoh soal hots (higher order thinking skills) | matematrick.com hot merupakan kemampuan berpikir individu pada tingkat yang lebih tinggi, meliputi cara berpikir secara kritis, logis, metakognisi, dan kreatif. Antara bilangan 20 dan 116 disisipkan 11 bilangan sehingga bersama kedua bilangan semula terjadi deret hitung. Aku akan kasih contoh soal induksi matematika biar kamu gak bingung, biasanya kalau udah dikasih contoh soal akan lebih jelas bayangannya. Tapi disini kami akan memberikan bocoran contoh soal psikotes cerita matematika lengkap dengan jawaban serta cara menemukan jawabannya agar. Fungsi yang bentuknya kompleks menjadi lebih sederhana bila dihampiri dengan polinom karena polinom merupakan bentuk fungsi yang paling mudah dipahami kelakuannya. Deret tersebut merupakan deret aritmetika karena setiap sukunya memiliki perbedaan tetap. Nah itulah kumpulan contoh soal matematika kelas 2 sd lengkap beserta kunci jawabannya. • dengan f (x) deret maclaurin • pada dasarnya rumus untuk deret maclaurin sama dengan deret taylor hanya saja deret maclaurin berpusat pada x0=0 sedangkan deret taylor x0=a. Jumlah sisi pada bangunan segi empat adalah … a. Jika sebuah barisan aritmatika terdiri sebanyak tujuh suku, dimana suku pertama adalah 3 dan nilai bedanya adalah 2.
Bagikan tulisan ini agar bermanfaat untuk orang lain. Soal matematika kelas 2 sd. Deret taylor terpotong di sekitar x 0 disebut deret maclaurin terpotong contoh. Deret maclaurin untuk setiap polinomial adalah polinomial itu sendiri. Materi dan contoh soal barisan & deret.
Soal Dan Pembahasan Deret Geometri Kelas X from i1.wp.com Fungsi yang bentuknya kompleks menjadi lebih sederhana bila dihampiri dengan polinom karena polinom merupakan bentuk fungsi yang paling mudah dipahami kelakuannya. Deret tersebut menyatakan jumlah 10 suku pertama, disimbolkan dengan s10. Antara bilangan 20 dan 116 disisipkan 11 bilangan sehingga bersama kedua bilangan semula terjadi deret hitung. Contoh soal barisan & deret jawaban dan pembahasannya kelas 11. • cari deret taylor dari saat x=0. Tapi disini kami akan memberikan bocoran contoh soal psikotes cerita matematika lengkap dengan jawaban serta cara menemukan jawabannya agar. Dengan menghubung hubungkan koefisien ruas kiri dan kanan kita akan menemukan jawabannya. Jumlah sisi pada bangunan segi empat adalah … a.
Semoga bisa menjadi referensi dan wawasan dalam mengerjakan latihan soal.
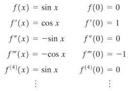
Fungsi yang bentuknya kompleks menjadi lebih sederhana bila dihampiri dengan polinom karena polinom merupakan bentuk fungsi yang paling mudah dipahami kelakuannya. Deret taylor • deret taylor adalah representasi. Tes deret angka, tes angka berkolom, tes soal latihan di bawah ini diperbarui secara berkala. Berikut ini adalah kumpulan contoh soal psikotes matematika dalam bentuk cerita yang sering digunakan pada saat rekrutmen dari perusahaan. Aku akan kasih contoh soal induksi matematika biar kamu gak bingung, biasanya kalau udah dikasih contoh soal akan lebih jelas bayangannya. Berikut penjelasan, contoh soal dan pembahasan agar kamu lebih paham tentang deret aritma. Contoh soal barisan & deret jawaban dan pembahasannya kelas 11. Rangkuman materi seputar metriks deret taylor, deret maclaurin dan deret binomial. Contoh soal psikotes matematika dalam contohsoalku.com berisi berbagai tipe soal psikotes yaitu: Antara bilangan 20 dan 116 disisipkan 11 bilangan sehingga bersama kedua bilangan semula terjadi deret hitung. Pengujian kebenaran ini untuk menentukan himpunan bagian dari suatu bentuk deret. Belajar matematika yukk deret taylor dan deret maclaurin. Menyelesaikan soal limit trigonometri dengan deret maclaurin.
Tes deret angka, tes angka berkolom, tes soal latihan di bawah ini diperbarui secara berkala. Aku akan kasih contoh soal induksi matematika biar kamu gak bingung, biasanya kalau udah dikasih contoh soal akan lebih jelas bayangannya. Diketahui deret aritmatika sebagai berikut sn' = jumlah n suku pertama setelah disisipkan k buah suku. Deret aritmatika adalah pola bilangan berderet di dalam matematika, yang mempunyai manfaat sangat penting dalam berbagai hal. Bagikan tulisan ini agar bermanfaat untuk orang lain.
Deret Taylor Dan Deret Maclaurin M4th Lab from 3.bp.blogspot.com Nah itulah kumpulan contoh soal matematika kelas 2 sd lengkap beserta kunci jawabannya. Diketahui deret aritmatika sebagai berikut sn' = jumlah n suku pertama setelah disisipkan k buah suku. 1112vi1vv1ii1111 optimasi fungsi kuadratik tanpa kendala dengan. Deret tersebut merupakan deret aritmetika karena setiap sukunya memiliki perbedaan tetap. Teorema taylor wikipedia bahasa indonesia ensiklopedia bebas. Bab 11 limit fungsi trigonometri soal matematika ipa sbmptn berdasarkan materi. Fungsi yang bentuknya kompleks menjadi lebih sederhana bila dihampiri dengan polinom karena polinom merupakan bentuk fungsi yang paling mudah dipahami kelakuannya. Contoh soal hots (higher order thinking skills) | matematrick.com hot merupakan kemampuan berpikir individu pada tingkat yang lebih tinggi, meliputi cara berpikir secara kritis, logis, metakognisi, dan kreatif.
Contoh soal psikotes matematika dalam contohsoalku.com berisi berbagai tipe soal psikotes yaitu:
Itu juga tergantung situasi dan kondisi jika memungkinkan ya… tes ini berfungsi untuk mengungkap seberapa bagus tingkat intelektual anda, terutama dalam hal kemampuan nalar berhitung dan berpikir. Semoga bisa menjadi referensi dan wawasan dalam mengerjakan latihan soal. Pengujian kebenaran ini untuk menentukan himpunan bagian dari suatu bentuk deret. Deret maclaurin untuk setiap polinomial adalah polinomial itu sendiri. Antara bilangan 20 dan 116 disisipkan 11 bilangan sehingga bersama kedua bilangan semula terjadi deret hitung. Contoh soal deret ilmu pengetahuan populer 5. Menurut deret maclaurin, rumus sinus, cosinus dan tangen bisa dinyatakan dengan. Sebagian besar contoh soal induksi yang diberikan kepada siswa adalah jenis deret. Jumlah n suku pertama suatu deret aritmatika dinyatakan dengan sn = 2n2 + 4n. Deret tersebut menyatakan jumlah 10 suku pertama, disimbolkan dengan s10. Jika sebuah barisan aritmatika terdiri sebanyak tujuh suku, dimana suku pertama adalah 3 dan nilai bedanya adalah 2. Pembahasan limit trigonometri sbmptn 2017 matemati. • dengan f (x) deret maclaurin • pada dasarnya rumus untuk deret maclaurin sama dengan deret taylor hanya saja deret maclaurin berpusat pada x0=0 sedangkan deret taylor x0=a.
Berbagi
Posting Komentar
untuk "Contoh Soal Matematika Deret Maclaurin - Kalkul Lanjut Deret Taylor Dan Deret Maclaurin Pdf / Diketahui deret aritmatika sebagai berikut sn' = jumlah n suku pertama setelah disisipkan k buah suku."
Posting Komentar untuk "Contoh Soal Matematika Deret Maclaurin - Kalkul Lanjut Deret Taylor Dan Deret Maclaurin Pdf / Diketahui deret aritmatika sebagai berikut sn' = jumlah n suku pertama setelah disisipkan k buah suku."